Журнал

Работа с отрицательными степенями

Зачем нужны степени?

Представьте, что вы строите башню из кубиков. Каждый новый этаж — это умножение числа на само себя. Так работают степени! Они помогают упростить запись длинных выражений и решать сложные задачи. Сегодня мы разберемся с отрицательными степенями — страшными на вид, но очень логичными!

Повторяем основы

Что такое степень?
  • Основание — число, которое умножается само на себя (например, 5 в 53).
  • Показатель — сколько раз основание участвует в умножении (например, 3 в 53 = 5×5×5).

Простые правила

Запомните три «кита» работы со степенями:
1.Умножение:

am × an = am+n

Пример: 23× 25= 28=256

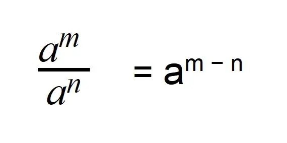
2.Деление

am an = am-n (Основания одинаковые — показатели складываем)

Пример: 710 74 = 76=117 649

3.Возведение в степень:

a-n = 1 an (Показатели перемножаем!)

Пример: 5-2 = 152 = 125


Отрицательная степень — это не страшно!

Что означает минус в степени?

Отрицательная степень — это просто дробь!

8-3 × 85 = 82 = 64